Analógové spracovanie signálov - komparátor
| Predmet |
|
|---|---|
| Konfigurovateľné mikroprocesorové systémy | |
| Tématická časť: | |
| Analógové spracovanie signálov |
Obsah
Komparátor
je obvod, pomocou ktorého môžeme indikovať časový okamih, v ktorom určitý signál nadobudne vopred stanovenú napäťovú hladinu. V robvodoch komparátorov kvôli extrémne veľkému napäťovému zosilneniu Au sa s obľubou používajú operačné zosilňovače. Jednoduchý komparátor s operačným zosilňovačom a jeho prevodovou charakteristikou je znázornený na nasledujúcom obrázku.
|
| Komparator |
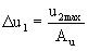
Ide v podstate o zapojenie operačného zosilňovača vo funkcii rozdielového zosilňovača bez zavedenej zápornej spätnej väzby. Vstupné napätie u1sa privádza na invertujúci vstup operačného zosilňovača a referenčné, porovnávacie napätie Uref sa privádza na jeho neinvertujúci vstup. Na prevodovej charakteristike vidíme, že má tri pracovné oblasti a to, oblasť kladnej saturácie, vtedy má výstupné napätie u2 teoreticky veľkosť kladného napájacieho napätia +UCC, oblasť lineárnej činnosti, kde operačný zosilňovač pracuje ako lineárny zosilňovač vstupného signálu a oblasť zápornej saturácie, vtedy má výstupné napätie u2 teoreticky veľkosť záporného napájacieho napätia –UEE. írka oblasti lineárnej činnosti je daná veľkosťou napätia Du1 a je ohraničená zdola napätím Uref – Du1 a zhora napätím Uref + Du1. Veľkosť napätia Du1 je priamo úmerná napäťovému zosilneniu Au operačného zosilňovača a je daná vzťahom :
Komparačný zosilňovač – komparátor
Definícia: Je to OZ vybavený dvoma alebo viacerými vstupnými signálmi. Je určený na presné porovnávanie rovnosti dvoch veličín. V ELE sa Priebeh výstupného napätia diferenčného zosilňovača s veľkým zosilnením. Napäťový komparátor je obvod, na výstupe ktorého sa objaví napätie zodpovedajúce logickej úrovni 1 alebo 0. (približne 5 alebo 0V) V závislosti od znamienka (polarity) rozdielu napätí na jeho vstupoch. Je to teda porovnávací obvod, ktorý porovnáva signál privedený na 1 vstup s referenčným napätím privedeným na 2 vstup, pričom zmeny znamienka rozdielu týchto dvoch napätí sa signalizujú ako zmena logického stavu obvodu na výstupe. Krajné hodnoty výstupných napätí sú vhodné na spoluprácu s číslicovými obvodmi. Všeobecne je jedno zo vstupných napätí jednosmerné referenčné napätie, takže napäťový komparátor možno chápať ako 1 bitový analógo-číslicový prevodník. Pre komparačný zosilňovač volíme zosilňovače so strmou charakteristikou a vysokým stupňom zosilnenia.
|
| kompenzačný zosilňovač |
Signál
je fyzikálna kvantita alebo kvalita ,ktorá nesie informáciu • Príklad: hlas známeho človeka je signál,ktorý u mňa vyvolá určitú konkrétnu akciu,resp. reakciu • Hlas známeho človeka nazveme excitácia, budenie • Moju akciu, resp. reakciu nazveme odpoveď , odozva – response
Čo je spracovanie signálov?
• Prechod od excitácie (budenia) k odozve (response) sa nazýva spracovanie signálov • Typický príklad spracovania signálov je odstránenie alebo potlačenie neželaného signálu • My konvertujeme originálny signál do formy, ktorá je vhodná pre ďalšie spracovanie • Jedna zo základných reprezentácií signálu je funkcia, ktorá má aspoň jednu nezávislú premennú
Analógový signál
je daný spojitými funkciami spojitého času, alebo čiastočne spojitými funkciami spojitého času. Tým sa líši od diskrétneho signálu ktorý je daný funkciami definovanými len v diskrétnych časových okamihoch a tvorí tak postupnosť funkčných hodnôt. Analógové signály môžeme deliť na základe nosného média, čiže podľa média, ktorými sú prenášané. Hovoríme vtedy napríklad o akustických signáloch, elektrických signáloch, optických signáloch a podobne.
Spracovanie spojitých signálov
Na spravovanie sú používané nasledujúce štandardné algoritmy, nezávisle od druhu analógového signálu.
Filtrácia- Frekvenčné filtre, DP a HP filtre ako výhybky pre rozdelenie frekvenčných pásiem v anténnych obvodoch a predzosilňovačoch, DP pre rôzne typy demodulátorov - PZ na potlačenie rušivých signálov - Korekčné filtre - rôzne typy filtrov v systémoch na obmedzenie šumu
Zosilnenie – Je to proces kedy je analógovemu signálu zväčšená amplitúda. Na zosilnenie sa používa zariadenie nazvané Zosilňovač . - Najpoužívanejšie sú prúdové , napäťové a optické zosilnovače. Pre vysokofrekvenčné signály používame VF. zosilňovače ,pre nízkofrekvenčné signály používame NF. zosilňovače .
Modulácia- je proces ovplyvňovania nosného signálu typicky sínusového, za účelom prenesenia informácie. Nosný signál je ovplyvňovaný modulačným signálom. Modulačný signál je signál v základnom pásme, napr. analógový signál z mikrofónu. Opačný proces sa nazýva demodulácia. Demodulátor je zariadenie, ktoré vykonáva demoduláciu, opak modulátora. Napríklad časť modemu, ktorá premieňa analógové dáta na digitálne, je demodulátor Typy analógovej modulácie: Amplitúdová, Frekvenčná, Fázová, impulzová šírková a Sigma-delta modulácia.
Analógové spracovanie signálu
Analógové spracovanie signálu spracováva samostatne nízkofrekvenčnú a samostatne vysokofrekvenčnú časť signálu. Po ich zosilnení sa pomocou komparátora vyhodnocuje dostatočná úroveň nízkofrekvenčnej a vysokofrekvenčnej časti . Pokiaľ sa na vstupe detektora objaví najskôr nízkofrekvenčný signál dostatočnej úrovne, preklopí komparátor nf zložky na výstupe 1. časovacieho obvodu sa na obmedzený čas objaví výstupný signál .Pokiaľ sa počas trvania tohto signálu objaví na vstupe detektora vysokofrekvenčná zložka dostatočnej úrovne, ktorú vyhodnotí komparátor vf zložky, objaví sa časovo obmedzený signál na výstupe 2. Časovacieho obvodu a výstupný obvod zopne výstupné relé a ovplyvní indikácie detektora.
|
| Schéma spracovania analógového signálu |
Analógové programovateľné bloky
Analógové programovateľné bloky sú zoskupované do trojíc , kde v každej trojici má každý blok trochu odlišné vlastnosti. Trojice sú usporiadané do stĺpca . V závislosti na typu mikroprocesoru môžu PSoC bosahovať 1,2 alebo 4 stĺpce analógových blokov. Každý zo stĺpcov má vlastný analógový multiplexor hodinového signálu , a výstupné analógové a komparátorové linky .
|
| Náhľad na systém analógových blokov |
Analógové stĺpce
Každý analógový stĺpec je tvorený z troch typov analógových blokov. ACB, ASC, ASD. Výstupy týchto blokov môžu byť smerované do vstupu iných okolních blokov nebo na analógové či komparátorové zbernice.
|
| Analógový stĺpec |
ACB
ACB bloky sú uspôsobené pre vkladanie zosilňovačov s RAIL-to-RAIL vstupy a výstupy , digitálne riadených rezistorov, alebo multiplexorov. Podľa vnútorného zapojenia je možné realizovať, neinvertujúci zosilňovač , prístrojový zosilňovač alebo komparátor. Jako vstup ACB bloku môže byť použitý signál z multiplexoru alebo niektorého zo susedných analógových blokov.
ASC a ASD
ASC a ASD sú bloky so spínanými kapacitami. Obsahujú analógové zosilňovače, vstupné multiplexory a spínané kondenzátory. AD a DA prevodníky, rovnako ako množstvo filtrov je možné jednoducho realizovať prostredníctvom zmeny zapojenia vnútorného zapojenia blokov. Je treba vziať na vedomie že nie je možné pristupovať zo vstupných multiplexorov do blokov so spínacími kapacitami priamo. Toto prepojenie musí viesť skrz ACB bloky. (napríklad operačným zosilňovačom s jednotkovým zosilnením)
Analógové vstupy Portu 2 Na rozdiel od signálov na Portu 0, ktoré musia prejsť vstupnými multiplexormi, sú nižšie 4 piny Portu 2 pripojené priamo k niektorým z analógových blokov. Toto zapojení je nemenné.
Analógový výstup Každý analógový stĺpec má spoločnu linku pre analógový výstup (AnalogOutBus). Analógové výstupy ležiace v blízkosti týchto liniek je možné využiť pre prenos signálu na jeden zo štyroch výstupných pinov portu 0. (P0[2], P0[3], P0[4], P0[5]).
|
| analógový výstup |
Využitie komparátorov
Každý analógový stĺpec má jednu komparátorovú linku , ktorá môže slúžiť ako digitálny výstup niektorého s analógových blokov. Táto linka môže byť pripojená ako vstup niektorého z digitálnych blokov a je tak možné napríklad porovnaním vstupného napätia v komparátore povoliť funkciu čítaču, časovaču, bloku PWM alebo inej digitálnej periférií. V systémoch PSoC je k dispozícií tiež kombinačná logika, ktorá vie spracovávať jeden alebo viac logických signálov z komparátora a umožňuje tak vytvárať zložitejšie výrazy pre riedenie periférií.
použitá literatúra:





